库仑定律:静电相互作用的定量基石
库仑定律是描述真空中两个静止点电荷之间相互作用力的基本定律,由法国物理学家查尔斯·奥古斯丁·库仑于1785年通过扭秤实验确立,是静电学和整个电磁理论的起点。
定律表述
真空中两个静止的点电荷 q1和 q2之间的相互作用力 F的大小与它们的电荷量的乘积成正比,与它们之间距离 r的平方成反比,作用力方向沿着两电荷的连线。同种电荷相互排斥,异种电荷相互吸引。数学表达式为:
F=k∣q1q2∣/r2, 其中:
-
F:静电力的大小(单位:牛顿,N)
-
q1,q2:两个点电荷的电荷量(单位:库仑,C)
-
r:两点电荷间的距离(单位:米,m)
-
k:静电力常量(库仑常量),在国际单位制中:

-
ε0为真空介电常数,ε0≈8.85×10−12C2/(N⋅m2)。
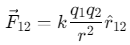
矢量形式为:
其中 F12表示 q2对 q1的作用力,r^12是从 q2指向 q1的单位矢量。
定律的适用条件
-
点电荷:带电体的尺寸远小于它们之间的距离,可视为电荷集中于一点的理想模型。
-
真空(或空气近似):在均匀、各向同性的无限大介质中,公式需修正为
,其中 ε为介质的介电常数。 -
静止电荷:电荷相对观察者静止。若电荷运动,需考虑磁场产生的洛伦兹力,总力由电磁场理论描述。
物理意义与拓展
-
平方反比律的精确性:库仑力与万有引力均遵循平方反比规律,但库仑力强度约为万有引力的 1039倍。平方反比关系的精度经实验验证极高,偏差小于 10−16。
-
叠加原理:多个点电荷对一个点电荷的作用力等于各点电荷单独存在时作用力的矢量和。这是静电学分析复杂系统的基础。
-
电场概念的基础:由库仑力公式可引入电场强度定义 E=F/q,从而发展出场的描述方法。
-
量子电动力学的经典对应:在宏观低速条件下,库仑定律是量子电动力学(描述电磁相互作用的基本理论)的优秀近似。
应用与意义
库仑定律不仅是分析静电力、计算电场分布的基础,也是理解原子结构(如玻尔原子模型中电子与原子核的静电吸引)、化学键形成(离子键)和物质稳定性的关键。从摩擦起电到闪电现象,从电容器设计到粒子加速器,库仑定律的应用贯穿经典物理与现代科技,堪称电磁学的“开篇定律”。
踩一下[0]

顶一下[0]